10 января на озере Плай Новосокольнического района состоялся Открытый личный чемпионат г. Великие Луки с командным зачетом по рыболовному спорту в дисциплине «ловля на блесну со льда».
В соревнованиях приняли участие более 60-ти человек — 19 команд. Участвовали рыбаки из Великих Лук, Пскова, Невеля и районов.
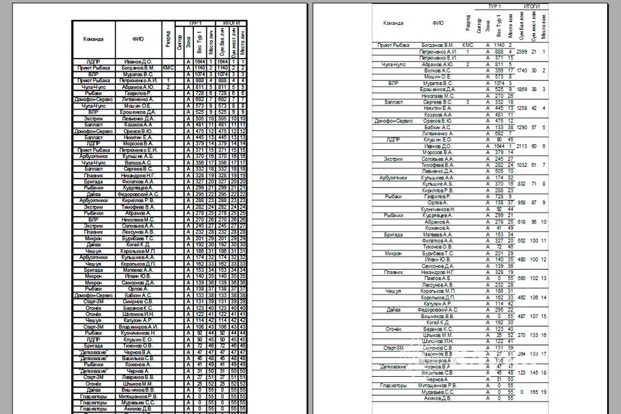
К зачету принималась щука от 35 см, окунь и ёрш без ограничения размера.
По итогам Чемпионата в личном зачете победителем стал Дмитрий Иванов из Великих Лук (1644 гр). Второе место завоевал Владимир Богданов (1140 гр), третье — Владислав Муратов (1074 гр).
Командное место считалось по занятым местам в личном зачете. В итоге:
- 1 место — «Приют рыбака» 2399 гр (Владимир Богданов (2), Алексей Петрюченко (4), Евгений Петрюченко (15) — сумма мест 21);
- 2 место — «Чупа-Чупс» 1740 гр (Александр Абрамов (5), Олег Мошин (8), Александр Волков (17) 1 сумма мест 30 );
- 3 место — «ВЛР» 1869 гр (Владислав Муратов (3), Денис Ерошенков (9), Михаил Николаев (26) — сумма мест 38).
В конкурсе на скоростное бурение лунки победил Александр Абрамов.



























































Комментарии
Еще никто не прокомментировал
Станьте первым!
Для того чтобы оставлять комментарии необходимо зарегистрироваться или авторизоваться